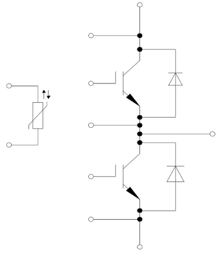
FF600R12IE4

Parametrics
Parametrics FF600R12IE4 Configuration Dual Dimensions (width) 89.0 mm Dimensions (length) 172.0 mm Housing PrimePACK™ 2 IC(nom) / IF(nom) 600.0 A IC max 600.0 A Qualification Industrial Technology IGBT4 - E4 VCE(sat) (Tvj=25°C typ) 1.75 V VF (Tvj=25°C typ) 1.8 V Voltage Class 1200.0 V
